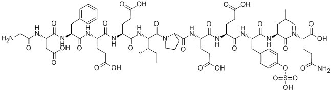
Pep03813 | Hirudin (54-65) (sulfated) | 109528-49-6
- 詳細(xì)描述
- 資料下載
|
貨號 |
Pep03813 |
|
名稱 |
Hirudin (54-65) (sulfated) |
|
中文其他名稱 |
甘氨酰-天冬氨酰-苯丙氨酰-谷氨酰-谷氨酰-異亮氨酰-脯氨酰-谷氨酰-谷氨酰-硫酸化酪氨酰-亮氨酰-谷氨酰胺;[TYR(SO3H)63]-水蛭素片段 54-65 |
|
英文其他名稱 |
HIRUDIN (54-65) (SULFATED);HIRUDIN [TYR(SO3H)63]-FRAGMENT 54-65;H-GLY-ASP-PHE-GLU-GLU-ILE-PRO-GLU-GLU-TYR(SO3H)-LEU-GLN-OH;GLY-ASP-PHE-GLU-GLU-ILE-PRO-GLU-GLU-TYR(SO3H)-LEU-GLN;GLY-ASP-PHE-GLU-ILE-PRO-GLU-GLU-TYR[SO3H]-LEU-GLN;hirudin fragment (tyr(so3H)63)-*fragment 54-65;[tyr(so3h)63]-hirudin fragment 54-65;Hirudin (54-65) (sulfated) H-Gly-Asp-Phe-Glu-Glu-Ile-Pro-Glu-Glu-Tyr(SO3H)-Leu-Gln-OH |
|
CAS NO. |
109528-49-6 |
|
單字母序列 |
GDFEEIPEE-Tyr(SO3H)-LQ |
|
三字母序列 |
Gly-Asp-Phe-Glu-Glu-Ile-Pro-Glu-Glu-Tyr(SO3H)-Leu-Gln | H-Gly-Asp-Phe-Glu-Glu-Ile-Pro-Glu-Glu-Tyr(SO3H)-Leu-Gln-OH |





南京肽業(yè)生物科技有限公司
地址:
Email: info@njpeptide.com
總機(jī):025-58361106-801
