Pep03111 | Angiogenin (108-122) | 112173-49-6
- 詳細(xì)描述
- 資料下載
|
貨號 |
Pep03111 |
|
名稱 |
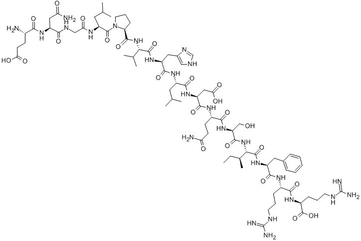
Angiogenin (108-122) |
|
中文其他名稱 |
|
|
英文其他名稱 |
ANGIOGENIN (108-122);H-GLU-ASN-GLY-LEU-PRO-VAL-HIS-LEU-ASP-GLN-SER-ILE-PHE-ARG-ARG-OH;GLU-ASN-GLY-LEU-PRO-VAL-HIS-LEU-ASP-GLN-SER-ILE-PHE-ARG-ARG;angiogenin fragment 108-122 |
|
CAS NO. |
112173-49-6 |
|
單字母序列 |
ENGLPVHLDQSIFRR |
|
三字母序列 |
Glu-Asn-Gly-Leu-Pro-Val-His-Leu-Asp-Gln-Ser-Ile-Phe-Arg-Arg | H-Glu-Asn-Gly-Leu-Pro-Val-His-Leu-Asp-Gln-Ser-Ile-Phe-Arg-Arg-OH |





南京肽業(yè)生物科技有限公司
地址:
Email: info@njpeptide.com
總機(jī):025-58361106-801
