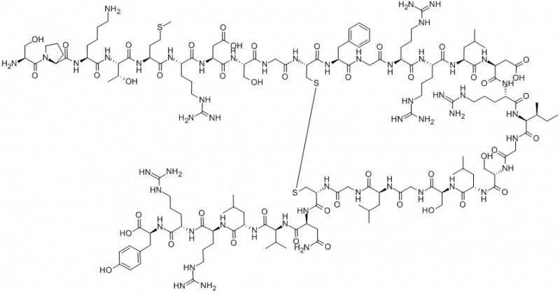
Pep03235 | BNP-32 (porcine) | 117345-87-6
- 詳細(xì)描述
- 資料下載
|
貨號 |
Pep03235 |
|
名稱 |
BNP-32 (porcine) |
|
中文其他名稱 |
SER-PRO-LYS-THR-MET-ARG-ASP-SER-GLY-CYS-PHE-GLY-ARG-ARG-LEU-ASP-ARG-ILE-GLY-SER-LEU-SER-GLY-LEU-GLY-CYS-ASN-VAL-LEU-ARG-ARG-TYR;SER-PRO-LYS-THR-MET-ARG-ASP-SER-GLY-CYS-PHE-GLY-ARG-ARG-LEU-ASP-ARG-ILE-GLY-SER-LEU-SER-GLY-LEU-GLY-CYS-ASN-VAL-LEU-ARG-ARG-TYR (DISULFIDE BRIDGE:CYS10-CYS26) |
|
英文其他名稱 |
H-SER-PRO-LYS-THR-MET-ARG-ASP-SER-GLY-CYS-PHE-GLY-ARG-ARG-LEU-ASP-ARG-ILE-GLY-SER-LEU-SER-GLY-LEU-GLY-CYS-ASN-VAL-LEU-ARG-ARG-TYR-OH;H-SER-PRO-LYS-THR-MET-ARG-ASP-SER-GLY-CYS-PHE-GLY-ARG-ARG-LEU-ASP-ARG-ILE-GLY-SER-LEU-SER-GLY-LEU-GLY-CYS-ASN-VAL-LEU-ARG-ARG-TYR-OH (DISULFIDE BRIDGE: 10-26);BNP, PORCINE;BNP (1-32), PORCINE;BNP-32 (PORCINE);BRAIN NATRIURETIC PEPTIDE (1-32), PORCINE;BRAIN NATRIURETIC PEPTIDE-32 (PORCINE);BRAIN NATRIURETIC PEPTIDE, PORCINE |
|
CAS NO. |
117345-87-6 |
|
單字母序列 |
SPKTMRDSGCFGRRLDRIGSLSGLGCNVLRRY |
|
三字母序列 |
Ser-Pro-Lys-Thr-Met-Arg-Asp-Ser-Gly-Cys-Phe-Gly-Arg-Arg-Leu-Asp-Arg-Ile-Gly-Ser-Leu-Ser-Gly-Leu-Gly-Cys-Asn-Val-Leu-Arg-Arg-Tyr | H-Ser-Pro-Lys-Thr-Met-Arg-Asp-Ser-Gly-Cys-Phe-Gly-Arg-Arg-Leu-Asp-Arg-Ile-Gly-Ser-Leu-Ser-Gly-Leu-Gly-Cys-Asn-Val-Leu-Arg-Arg-Tyr-OH |





南京肽業(yè)生物科技有限公司
地址:
Email: info@njpeptide.com
總機(jī):025-58361106-801
