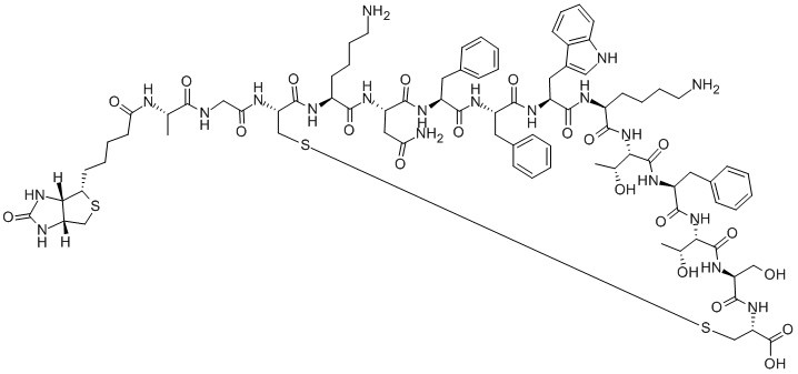
Pep13708 | Biotin-Somatostatin-14 | 145251-83-8
- 詳細(xì)描述
- 資料下載
Pep13708 | Biotin-Somatostatin-14 | 145251-83-8
|
貨號(hào) |
Pep13708 |
|
名稱(chēng) |
Biotin-Somatostatin-14 |
|
其他名稱(chēng) |
BIOTINYL-ALA-GLY-CYS-LYS-ASN-PHE-PHE-TRP-LYS-THR-PHE-THR-SER-CYS-OH BIOTINYL-ALA-GLY-CYS-LYS-ASN-PHE-PHE-TRP-LYS-THR-PHE-THR-SER-CYS-OH, (DISULFIDE BOND) BIOTIN-ALA-GLY-CYS-LYS-ASN-PHE-PHE-TRP-LYS-THR-PHE-THR-SER-CYS BIOTINYL-SOMATOSTATIN-14 Biotinyl-SRIF |
|
CAS No. |
145251-83-8 |
|
單字母序列 |
Biotin-AGCKNFFWKTFTSC |
|
三字母序列 |
Ala-Gly-Cys-Lys-Asn-Phe-Phe-Trp-Lys-Thr-Phe-Thr-Ser-Cys (Disulfidebridge:Cys3-Cys14) | H-Ala-Gly-Cys-Lys-Asn-Phe-Phe-Trp-Lys-Thr-Phe-Thr-Ser-Cys-OH |





南京肽業(yè)生物科技有限公司
地址:
Email: info@njpeptide.com
總機(jī):025-58361106-801
