Pep03763 | Uroguanylin (human) | 154525-25-4
- 詳細(xì)描述
- 資料下載
|
貨號 |
Pep03763 |
|
名稱 |
Uroguanylin (human) |
|
中文其他名稱 |
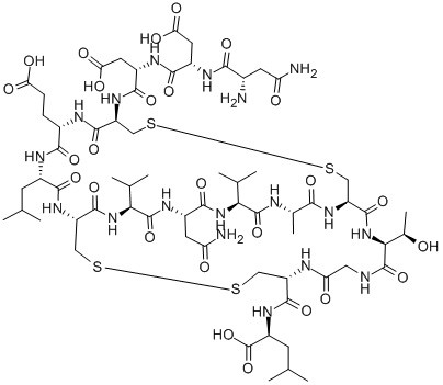
ASN-ASP-ASP-CYS-GLU-LEU-CYS-VAL-ASN-VAL-ALA-CYS-THR- GLY-CYS-LEU(DISULFIDE BRIDGE: CYS4-CYS12, CYS7-CYS15) |
|
英文其他名稱 |
UGN (HUMAN);UROGUANYLIN;UROGUANYLIN (HUMAN);H-ASN-ASP-ASP-CYS-GLU-LEU-CYS-VAL-ASN-VAL-ALA-CYS-THR-GLY-CYS-LEU-OH;H-ASN-ASP-ASP-CYS-GLU-LEU-CYS-VAL-ASN-VAL-ALA-CYS-THR-GLY-CYS-LEU-OH, (DISULFIDE BONDS BETWEEN CYS4 AND CYS12/CYS7 AND CYS15);ASN-ASP-ASP-CYS-GLU-LEU-CYS-VAL-ASN-VAL-ALA-CYS-THR-GLY-CYS-LEU;asn-asp-asp-cys-glu-leu-cys-val-asn-val-ala-cys-thr-gly-cys-leu [disulfide bridges: 4-12, 7-15];Uroguanylin (huMan) UGN (huMan) |
|
CAS NO. |
154525-25-4 |
|
單字母序列 |
NDDCELCVNVACTGCL |
|
三字母序列 |
Asn-Asp-Asp-Cys-Glu-Leu-Cys-Val-Asn-Val-Ala-Cys-Thr-Gly-Cys-Leu|H-Asn-Asp-Asp-Cys-Glu-Leu-Cys-Val-Asn-Val-Ala-Cys-Thr-Gly-Cys-Leu-OH |





南京肽業(yè)生物科技有限公司
地址:
Email: info@njpeptide.com
總機:025-58361106-801
