Pep04135 | MAGE-3 Antigen (168-176) (human) | 154652-68-3
- 詳細描述
- 資料下載
Pep04135 | MAGE-3 Antigen (168-176) (human) | 154652-68-3
|
貨號 |
Pep04135 |
|
名稱 |
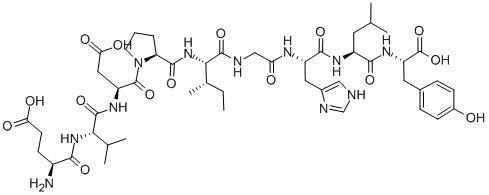
MAGE-3 Antigen (168-176) (human) |
|
中文其他名稱 |
|
|
英文其他名稱 |
MAGE-3 A1;H-GLU-VAL-ASP-PRO-ILE-GLY-HIS-LEU-TYR-OH;GLU-VAL-ASP-PRO-ILE-GLY-HIS-LEU-TYR;H2N-EVDPIGHLY-OH |
|
CAS No. |
154652-68-3 |
|
單字母序列 |
EVDPIGHLY |
|
三字母序列 |
Glu-Val-Asp-Pro-Ile-Gly-His-Leu-Tyr | H-Glu-Val-Asp-Pro-Ile-Gly-His-Leu-Tyr-OH |





南京肽業(yè)生物科技有限公司
地址:
Email: info@njpeptide.com
總機:025-58361106-801
