Pep03517 | Fluorogenic Human CMV Protease Substrate | 163265-38-1
- 詳細描述
- 資料下載
|
貨號 |
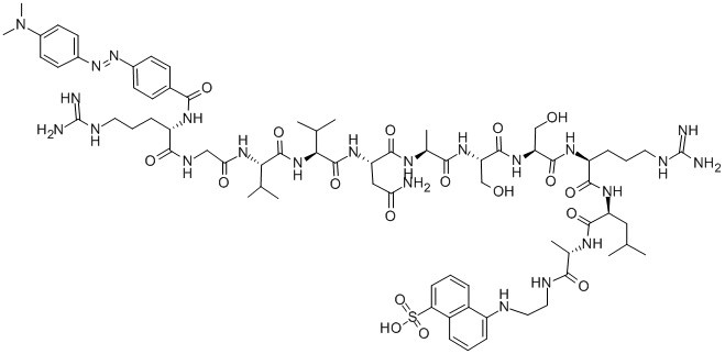
Pep03517 |
|
名稱 |
Fluorogenic Human CMV Protease Substrate |
|
中文其他名稱 |
|
|
英文其他名稱 |
DABCYL-ARG-GLY-VAL-VAL-ASN-ALA-SER-SER-ARG-LEU-ALA-EDANS;CMV PROTEASE FRET SUBSTRATE I;FLUOROGENIC HUMAN CMV PROTEASE SUBSTRATE |
|
CAS NO. |
163265-38-1 |
|
單字母序列 |
DABCYL-RGVVNASSRLA-EDANS |
|
三字母序列 |
DABCYL-Arg-Gly-Val-Val-Asn-Ala-Ser-Ser-Arg-Leu-Ala-EDANS | DABCYL-Arg-Gly-Val-Val-Asn-Ala-Ser-Ser-Arg-Leu-Ala-EDANS |





南京肽業(yè)生物科技有限公司
地址:
Email: info@njpeptide.com
總機:025-58361106-801
