Pep03092 | Amylin (1-13) (human) | 198328-30-2
- 詳細描述
- 資料下載
|
貨號 |
Pep03092 |
|
名稱 |
Amylin (1-13) (human) |
|
中文其他名稱 |
|
|
英文其他名稱 |
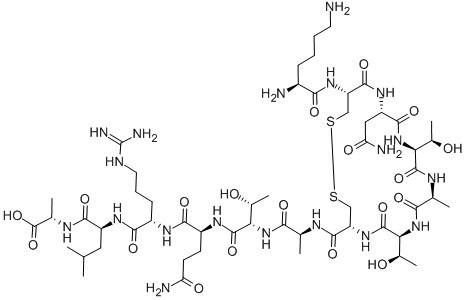
KCNTATCATQRLA (DISULFIDE BRIDGE: 2-7);H-LYS-CYS-ASN-THR-ALA-THR-CYS-ALA-THR-GLN-ARG-LEU-ALA-OH;H-LYS-CYS-ASN-THR-ALA-THR-CYS-ALA-THR-GLN-ARG-LEU-ALA-OH (DISULFIDE BRIDGE: 2-7);LYS-CYS-ASN-THR-ALA-THR-CYS-ALA-THR-GLN-ARG-LEU-ALA;AMYLIN (1-13) (HUMAN);H-Lys-Cys-Asn-Thr-Ala-Thr-Cys-Ala-Thr-Gln-Arg-Leu-Ala-OH, (Disulfide bond);AMylin (1-13) (huMan) Islet AMyloid Polypeptide (1-13) (huMan), DAP (1-13) (huMan), InsulinoMa AMyloid Peptide (1-13) (huMan), Diabetes-Associated Peptide (1-13) (huMan);Biotinyl-Neurokinin B Biotinyl-Neurokinin β, Biotinyl-NeuroMedin K, Biotinyl-NKB |
|
CAS NO. |
198328-30-2 |
|
單字母序列 |
KCNTATCATQRLA |
|
三字母序列 |
Lys-Cys-Asn-Thr-Ala-Thr-Cys-Ala-Thr-Gln-Arg-Leu-Ala | H-Lys-Cys-Asn-Thr-Ala-Thr-Cys-Ala-Thr-Gln-Arg-Leu-Ala-OH |





南京肽業(yè)生物科技有限公司
地址:
Email: info@njpeptide.com
總機:025-58361106-801
