Pep03071 | Alloferon 1 | 347884-61-1
- 詳細(xì)描述
- 資料下載
|
貨號(hào) |
Pep03071 |
|
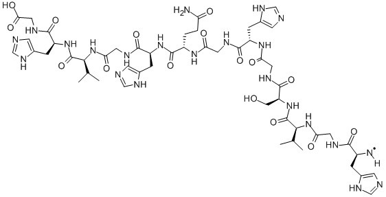
名稱 |
Alloferon 1 |
|
中文其他名稱 |
|
|
英文其他名稱 |
H-HIS-GLY-VAL-SER-GLY-HIS-GLY-GLN-HIS-GLY-VAL-HIS-GLY-OH;HIS-GLY-VAL-SER-GLY-HIS-GLY-GLN-HIS-GLY-VAL-HIS-GLY;ALLOFERON 1;Alloferon |
|
CAS NO. |
347884-61-1 |
|
單字母序列 |
HGVSGHGQHGVHG |
|
三字母序列 |
His-Gly-Val-Ser-Gly-His-Gly-Gln-His-Gly-Val-His-Gly | H-His-Gly-Val-Ser-Gly-His-Gly-Gln-His-Gly-Val-His-Gly-OH |





南京肽業(yè)生物科技有限公司
地址:
Email: info@njpeptide.com
總機(jī):025-58361106-801
