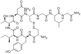
Pep13206 | (Thr4,Gly7)-Oxytocin | 60786-59-6
- 詳細(xì)描述
- 資料下載
Pep13206 | (Thr4,Gly7)-Oxytocin | 60786-59-6
|
貨號(hào) |
Pep13206 |
|
名稱 |
(Thr4,Gly7)-Oxytocin |
|
中文其他名稱 |
|
|
英文其他名稱 |
thr(4)-gly(7)-oxytoci;[THR4, GLY7] OT;[THR4, GLY7]-OXYTOCIN;CYS-TYR-ILE-THR-ASN-CYS-GLY-LEU-GLY-NH2;H-CYS-TYR-ILE-THR-ASN-CYS-GLY-LEU-GLY-NH2;H-CYS-TYR-ILE-THR-ASN-CYS-GLY-LEU-GLY-NH2, (DISULFIDE BOND);3,3-DiallylthiacarbocyanineBromide;Cys-Tyr-Ile-Thr-Asn-Cys-Gly-Leu-Gly-NH2 (Disulfide bridge Cys1-Cys6) |
|
CAS No. |
60786-59-6 |
|
單字母序列 |
CYITNCGLG-NH2 |
|
三字母序列 |
Cys-Tyr-Ile-Thr-Asn-Cys-Gly-Leu-Gly-NH2 | H-Cys-Tyr-Ile-Thr-Asn-Cys-Gly-Leu-Gly-NH2 |





南京肽業(yè)生物科技有限公司
地址:
Email: info@njpeptide.com
總機(jī):025-58361106-801
