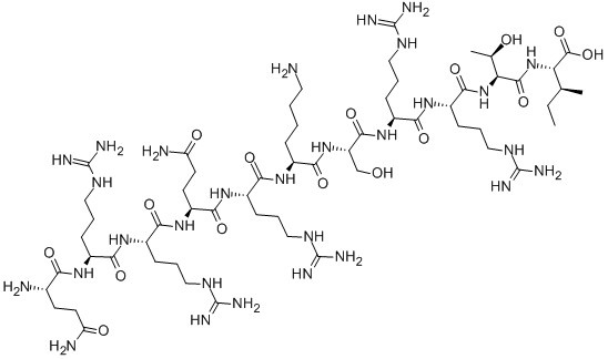
Pep13324 | H-Gln-Arg-Arg-Gln-Arg-Lys-Ser-Arg-Arg-Thr-Ile-OH | 102579-44-2
- 詳細(xì)描述
- 資料下載
|
貨號(hào) |
Pep13324 |
|
名稱 |
H-Gln-Arg-Arg-Gln-Arg-Lys-Ser-Arg-Arg-Thr-Ile-OH |
|
其他名稱 |
IL-2 RECEPTOR FRAGMENT (HUMAN) H-GLN-ARG-ARG-GLN-ARG-LYS-SER-ARG-ARG-THR-ILE-OH GLN-ARG-ARG-GLN-ARG-LYS-SER-ARG-ARG-THR-ILE
|
|
CAS No. |
102579-44-2 |
|
單字母序列 |
QRRQRKSRRTI |
|
三字母序列 |
Gln-Arg-Arg-Gln-Arg-Lys-Ser-Arg-Arg-Thr-Ile | H-Gln-Arg-Arg-Gln-Arg-Lys-Ser-Arg-Arg-Thr-Ile-OH |





南京肽業(yè)生物科技有限公司
地址:
Email: info@njpeptide.com
總機(jī):025-58361106-801
