Pep03231 | BNP-26 (porcine) | 114547-28-3
- 詳細(xì)描述
- 資料下載
|
貨號(hào) |
Pep03231 |
|
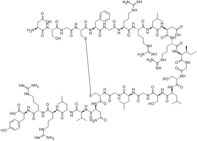
名稱 |
BNP-26 (porcine) |
|
中文其他名稱 |
ASP-SER-GLY-CYS-PHE-GLY-ARG-ARG-LEU-ASP-ARG-ILE-GLY-SER-LEU-SER-GLY-LEU-GLY-CYS-ASN-VAL-LEU-ARG-ARG-TYR;ASP-SER-GLY-CYS-PHE-GLY-ARG-ARG-LEU-ASP-ARG-ILE-GLY-SER-LEU-SER-GLY-LEU-GLY-CYS-ASN-VAL-LEU-ARG-ARG-TYR (DISULFIDE BRIDGE:CYS4-CYS5) |
|
英文其他名稱 |
DSGCFGRRLDRIGSLSGLGCNVLRRY (DISULFIDE BRIDGE: 4-20);H-ASP-SER-GLY-CYS-PHE-GLY-ARG-ARG-LEU-ASP-ARG-ILE-GLY-SER-LEU-SER-GLY-LEU-GLY-CYS-ASN-VAL-LEU-ARG-ARG-TYR-OH;H-ASP-SER-GLY-CYS-PHE-GLY-ARG-ARG-LEU-ASP-ARG-ILE-GLY-SER-LEU-SER-GLY-LEU-GLY-CYS-ASN-VAL-LEU-ARG-ARG-TYR-OH (DISULFIDE BRIDGE: 4-20);ASP-SER-GLY-CYS-PHE-GLY-ARG-ARG-LEU-ASP-ARG-ILE-GLY-SER-LEU-SER-GLY-LEU-GLY-CYS-ASN-VAL-LEU-ARG-ARG-TYR;BRAIN NATRIURETIC PEPTIDE-26 (PORCINE);BRAIN NATRIURETIC PEPTIDE (7-32) PORCINE;BRAIN NATRIURETIC PEPTIDE FRAGMENT 7-32 PORCINE;BRAIN NATRIURETIC PEPTIDE, PORCINE |
|
CAS NO. |
|
|
單字母序列 |
DSGCFGRRLDRIGSLSGLGCNVLRRY |
|
三字母序列 |
Asp-Ser-Gly-Cys-Phe-Gly-Arg-Arg-Leu-Asp-Arg-Ile-Gly-Ser-Leu-Ser-Gly-Leu-Gly-Cys-Asn-Val-Leu-Arg-Arg-Tyr|H-Asp-Ser-Gly-Cys-Phe-Gly-Arg-Arg-Leu-Asp-Arg-Ile-Gly-Ser-Leu-Ser-Gly-Leu-Gly-Cys-Asn-Val-Leu-Arg-Arg-Tyr-OH |





南京肽業(yè)生物科技有限公司
地址:
Email: info@njpeptide.com
總機(jī):025-58361106-801
