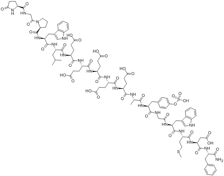
Pep12303 | Gastrin I (human) (sulfated) | 19361-51-4
- 詳細(xì)描述
- 資料下載
Pep12303 | Gastrin I (human) (sulfated) | 19361-51-4
|
貨號 |
Pep12303 |
|
名稱 |
Gastrin I (human) (sulfated) |
|
中文其他名稱 |
GASTRIN I (HUMAN) (SULFATED) |
|
英文其他名稱 |
GASTRIN-1, HUMAN, SULFATED;GASTRIN-1, HUMAN, SULFATED (GASTRIN II);GASTRIN I (HUMAN) (SULFATED);GASTRIN II;GASTRIN II HUMAN;GASTRIN II SULFATED;GASTRIN I (SULFATED) (HUMAN);G17, HUMAN |
|
CAS NO. |
19361-51-4 |
|
單字母序列 |
Pyr-GPWLEEEEEA-Tyr(SO3H) -GWMDF-NH2 |
|
三字母序列 |
Pyr-Gly-Pro-Trp-Leu-Glu-Glu-Glu-Glu-Glu-Ala-Tyr(SO3H)-Gly-Trp-Met-Asp-Phe-NH2 | Pyr-Gly-Pro-Trp-Leu-Glu-Glu-Glu-Glu-Glu-Ala-Tyr(SO3H)-Gly-Trp-Met-Asp-Phe-NH2 |





南京肽業(yè)生物科技有限公司
地址:
Email: info@njpeptide.com
總機:025-58361106-801
