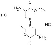
R41253| 22735-07-5| (H-Cys-OEt)2?2HCl
- 詳細描述
- 資料下載
R41253| 22735-07-5| (H-Cys-OEt)2·2HCl
|
中文名稱: |
22735-07-5 |
|
中文同義詞: |
22735-07-5 |
|
英文名稱: |
diethyl L-cystinate dihydrochloride |
|
英文同義詞: |
diethyl L-cystinate dihydrochloride;(H-Cys-OEt)2 . 2 HCl, (Disulfide bond);Nsc519836;(H-Cys-OEt)2;(H-L-Cys-OEt)2·2HCl;L-Cystine bis-ethyl ester dihydrochloride(Disulfide Bond)≥ 99% (TLC);L-Cystine Diethyl Ester Dihydrochloride(WXC03092);Diethyl 3,3'-disulfanediyl(2R,2'R)-bis(2-aminopropanoate) dihydrochloride |
|
CAS號: |
22735-07-5 |
|
分子式: |
C10H20N2O4S2.2ClH |
|
分子量: |
369.332 |





南京肽業(yè)生物科技有限公司
地址:
Email: info@njpeptide.com
總機:025-58361106-801
