Pep13320 | cAMP-Dependent Protein Kinase Inhibitor-α (5-22) amide (human, mouse, rabbit, rat) | 100
- 詳細描述
- 資料下載
|
貨號 |
Pep13320 |
|
名稱 |
cAMP-Dependent Protein Kinase Inhibitor-α (5-22) amide (human, mouse, rabbit, rat) |
|
其他名稱 |
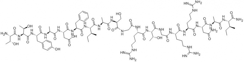
THR-THR-TYR-ALA-ASP-PHE-ILE-ALA-SER-GLY-ARG-THR-GLY-ARG-ARG-ASN-ALA-ILE-HIS-ASP: TTYADFIASGRTGRRNAIHD |
|
CAS No. |
100853-58-5 |
|
單字母序列 |
TTYADFIASGRTGRRNAI-NH2 |
|
三字母序列 |
Thr-Thr-Tyr-Ala-Asp-Phe-Ile-Ala-Ser-Gly-Arg-Thr-Gly-Arg-Arg-Asn-Ala-Ile-NH2 | H-Thr-Thr-Tyr-Ala-Asp-Phe-Ile-Ala-Ser-Gly-Arg-Thr-Gly-Arg-Arg-Asn-Ala-Ile-NH2 |





南京肽業(yè)生物科技有限公司
地址:
Email: info@njpeptide.com
總機:025-58361106-801
